Cross bracing

with

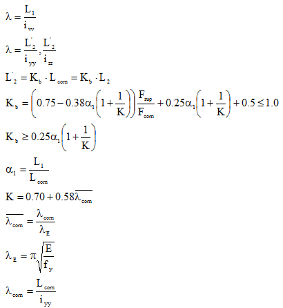
Lcom

Length of compressed member (L2 from figure)

Fcom

Force in compressed member (L2 from figure)

Fsup

Force in supporting member (member crossing member L2)

E

Modulus of Young

fy

Yield strength

SCIA web

Downloads

SCIA is part of the Nemetschek group