|
||
|
|
||
Cílem tohoto projektu je výpočet a posouzení přerozdělení ohybového momentu My (moment kolem lokální osy y). Moment Mz (moment kolem lokální osy z) není přerozdělován. Přerozdělení znamená snížení ohybových momentů nad podporami a zvýšení ohybových momentů uprostřed rozpětí, přičemž rozdělení momentů zůstává v rovnováze s působícími zatíženími.
Uživatel může vybrat čtyři metody výpočtu přerozděleného ohybového momentu My:
· metoda podle EN 1992-1-1, článek 5.5,
· momentová únosnost (přerozdělený ohybový moment = moment únosnosti),
· uživatelská metoda.
Po výpočtu přerozděleného ohybového momentu výše uvedenými metodami může uživatel posoudit hodnotu přerozděleného ohybového momentu podle EN 1992-1-1, článek 5.5(4) nebo 5.6.2(2). Moment lze přerozdělovat jen v následujících situacích:
· je-li definován nový typ prvku – spojitý nosník,
· jsou-li definována doplňující data pro přerozdělení u spojitého nosníku,
· je-li připravena kombinace pro přerozdělení.
Při výpočtu a posouzení přerozděleného ohybového momentu je třeba provést následující kroky:
· Definování nového typu prvku – spojitého nosníku (kapitola 2)
· Výběr kombinace nebo fází výstavby, pro něž bude přerozdělení vypočteno (kapitola 3)
· Definování nebo změna vstupních parametrů v nastavení betonu (kapitola 4)
· Definování dalších dat pro přerozdělení u spojitého nosníku (typ metody, výběr podpory...), kapitola 5
· Výpočet přerozděleného ohybového momentu pro vybraný prvek a metodu (kapitola 7)
· Posouzení přerozdělení ohybového momentu v posudcích MSÚ (kapitola 8)
Omezení:
Podporovaný směr: jen ohybový moment My (kolem lokální osy y)
Podporovaný kód: jen EN 1992-1-1
Podporovaný prvek: přímý spojitý nosník
Podporované průřezy: všechny průřezy
Ohybový moment lze přerozdělit jen tehdy, je-li definován spojitý nosník. Spojitý nosník je možné definovat pomocí položky Spojitý nosník (ve stromu Konstrukce > Data modelu).
Po klepnutí na tuto položku uživatel vybere typ spojitého nosníku:
· standard – je dostupná pouze jedna varianta.
Poté uživatel přiřadí k spojitému nosníku existující pruty (výběrem v grafickém okně). Přiřazení prutů lze změnit ve vlastnostech spojitého nosníku pomocí akčních tlačítek Vybrat přiřazení a Odstranit z výběru neaktivní entity.
Pozn.:
· spojitý nosník nelze kopírovat,
· grafické zobrazení a popis spojitého nosníku lze nastavit v dialogovém okně Parametry zobrazení > Model > Jiná data modelu > Spojitý nosník.
Uživatel musí určit, pro kterou kombinaci nebo fáze výstavby má být přerozdělení vypočteno.
Do správce kombinací a do dialogového okna pro úpravy kombinací bylo přidáno nové zaškrtávací políčko Přerozdělení ohybových momentů. Toto políčko je zaškrtnuto jen u kombinace MSÚ a pouze tehdy,
· je-li v projektu definován materiál beton,
· je-li vybrán kód EN 1992-1-1,
· je-li v projektu definován spojitý nosník.
Zaškrtávací políčko Přerozdělení ohybových momentů lze nastavit parametricky prostřednictvím logického parametru.
Do vlastností jednotlivých fází výstavby bylo doplněno nové zaškrtávací políčko Přerozdělení momentu. Je-li toto políčko zaškrtnuto, pak:
· bude vypočítán přerozdělený moment pro všechny kombinace MSÚ z vybrané fáze výstavby (políčko Přerozdělení ohybového momentu ve vlastnostech jednotlivých kombinací MSÚ bude zaškrtnuto);
· při výpočtu přerozdělení lze brát v úvahu podpory pro vybranou fázi výstavby.
Zaškrtávací políčko Přerozdělení momentu lze nastavit parametricky prostřednictvím logického parametru.
Při zaškrtnutí políčka Přerozdělení ohybového momentu je pro každou kombinaci vygenerován a přidán nový zatěžovací stav. Tento zatěžovací stav obsahuje redukci momentu v jednotlivých řezech výsledku. Jednou z níže popsaných metod program vypočítá redukci momentu nad podporou. Pro výpočet přerozdělených ohybových momentů ve všech řezech program používá následující postup:
· jsou přepočteny redukce momentů v řezech (předpokládá se lineární průběh po délce pole),
· smyčka pro všechny řezy v poli: spuštění řešiče průřezů, výpočet napětí, integrace sil ve fázích průřezů a kabelů,
· test materiálu nosníků (vypočítat lze pouze beton + vnitřní kabely v průřezech),
· při výpočtech sil ve fázích průřezů se počítá s nárůstem modulu pružnosti E v čase (stárnutí, změny modulu E…),
· vyplnění nového ZS podle redukce momentu (síly ve fázích průřezů a kabelů).
Zatěžovací stav s redukcí momentu lze prezentovat v servisech Vnitřní síly na prutu (ve stromu Výsledky > Pruty) a Vnitřní síly (ve stromu Pokročilý beton > 1D prvek), přičemž ve výběrové položce Typ zatížení je k dispozici nová položka Zatěžovací stavy - redukce momentů.
Pro nastavení Typ zatížení = Zatěžovací stavy - redukce momentů je aktivní nová výběrová položka Zatěžovací stavy - redukce momentů se seznamem všech případů zatížení s redukcí momentu pro všechny kombinace se zaškrtnutým políčkem Přerozdělení ohybového momentu. Název zatěžovacího stavu je odvozen od názvu zdrojové přerozdělené kombinace, například název ZS pro kombinaci F1-MAX bude F1-MAX/1. Číslo na názvem kombinace označuje číslo zatěžovacího stavu, protože pro obálkovou kombinaci lze vygenerovat několik zatěžovacích stavů s redukcí momentu.
Základní principy generování přerozdělené kombinace:
· Přerozdělenou kombinaci lze vytvořit jen pro kombinaci MSÚ v závislosti na typu výpočtu (analýzy):
· Pro TDA a analýzu fází výstavby jsou kombinace generovány automaticky. Políčko Přerozdělení ohybového momentu je zaškrtnuto pro všechny kombinace MSÚ ve fázi výstavby/použitelnosti, pro něž je zaškrtnuto políčko Přerozdělení momentu.
· Pro jiné typy analýzy musí uživatel zaškrtnout políčko Přerozdělení ohybového momentu přímo v dialogovém okně s definicí kombinace.
· Pro lineární kombinaci je generován jen jeden případ zatížení s redukcí momentu.
· Pro obálkovou kombinaci je použit následující postup:
o obálková kombinace je rozložena do lineárních kombinací na pozadí,
o pro vybraný prvek (pouze prvek s definovanými daty přerozdělení) a obálkovou kombinaci jsou vytvořeny nebezpečné kombinace z lineárních kombinací,
o pro každou nebezpečnou kombinaci je vytvořen a vyplněn nový případ zatížení s redukcí momentu,
o jsou uloženy nově vytvořené případy zatížení.
· Je nalezena obálková kombinace ze všech nebezpečných kombinací s redukcí momentu případu zatížení přímo v aktuálním výsledku / servisu Pokročilý beton.
· Obsah přerozdělené kombinace lze prezentovat pouze s použitím klíče kombinace.
· Přerozdělená kombinace je brána v úvahu, pokud je zaškrtnuto políčko Přerozdělení momentu ve vybraném servisu (typu posouzení).
Nové parametry ovlivňující výpočet a posouzení přerozdělení ohybového momentu se nacházejí v sekcích:
· Nastavení betonu > Obecné > Národní dodatek
· Nastavení betonu > Obecné > Výpočet > záložka Pruty.
Parametry pro výpočet hodnoty d podle EN 1992-1-1, článek 5.5.4 v národním dodatku. Hodnota d se používá pro výpočet přerozděleného ohybového momentu podle EN 1992-1-1 a posouzení přerozděleného ohybového momentu v souladu s kapitolou 5.5 (4).
Parametry pro posouzení tlačeného prvku a pro metodu výběru, která se používá při posouzení přerozdělení ohybového momentu My.
· Zaškrtávací políčko Normálová síla do výpočtu:
o Je-li toto políčko zaškrtnuto, jsou v návrhu výztuže brány v úvahu normálové síly na prutu. V opačném případě je prut navržen pro čistý ohybový moment. Tento posudek nemá žádný vliv na posuzování prvku. Tento parametr je nezávislý na kódu.
o Ve výchozím stavu je toto políčko zaškrtnuto.
· Zaškrtávací políčko Posoudit tlak v nosníku:
o Je aktivní jen tehdy, je-li zaškrtnuto políčko Normálová síla do výpočtu.
o Je nezávislé na kódu a používá se pro definování prvků zatížených převážně ohybem nebo tlakem.
o Je-li políčko zaškrtnuto, program posuzuje vzorec
§ v návrhu výztuže (servis Návrhové As),
§ ve výpočtu přerozděleného ohybového momentu podle EN 1992-1-1,
§ v posudku přerozdělení podle kapitoly 5.5(4) (servisy pro posudky MSÚ, hodnota Posudek redistribuce)

kde
|
NEd |
je normálová síla vyvinutá vnějším zatížením |
|
Np |
je normálová síla vyvinutá předpětím |
|
x |
je relativní číslo určené v nastavení betonu s výchozí hodnotou 0,1 |
|
nph |
je počet fází průřezu |
|
Ac,i |
je plocha betonu v i-té fázi průřezu |
|
fcd,i |
je návrhová hodnota pevnosti betonu v tlaku v i-té fázi průřezu |
Návrh výztuže:
· Jsou-li podmínky vzorce splněny, program vrátí varování 60 (Prvek není považován za prvek pod tlakem) a výpočet je v pořádku.
· Nejsou-li podmínky vzorce splněny, program vrátí varování 61 (Prvek je považován za prvek pod tlakem), výpočet není v pořádku a nosník by měl být vypočten jako sloup. Uživatel musí ručně přepnout typ prvku na sloup.
Výpočet přerozděleného ohybového momentu podle EN 1992-1-1:
· Jsou-li podmínky vzorce splněny, lze vypočítat přerozdělený moment.
· Nejsou-li podmínky vzorce splněny, program vrátí chybu 851 (Prvek není zatížen převážně ohybem) a přerozdělený ohybový moment nebude vypočten.
Posudek přerozdělení podle kapitoly 5.5(4):
· Jsou-li splněny podmínky vzorce, je posudek v pořádku.
· Nejsou-li splněny podmínky vzorce, program vrátí chybu 851 (Prvek není zatížen převážně ohybem) a posudek není v pořádku.
o Není-li políčko zaškrtnuto, posuzuje se předchozí vzorec pouze:
· ve výpočtu přerozděleného ohybového momentu podle EN 1992-1-1 a
· v posudku přerozdělení podle kapitoly 5.5(4),
protože v těchto případech lze použít pouze prvek zatížený převážně ohybem.
· Skupina Posoudit redistribuované momenty:
o Uživatel může vybrat metodu posouzení přerozdělených momentů.
o Jsou podporovány dvě metody:
§ posouzení podle 5.5(4) – metoda v EN 1992-1-1, článek 5.5(4)
§ posouzení podle 5.6.2(2) – metoda v EN 1992-1-1, článek 5.6.2(2)
Výpočet a posouzení přerozděleného momentu nelze provést bez dat přerozdělení, protože je nutné vybrat podpory a metodu výpočtu. Další data pro přerozdělení (data RM) lze zadat prostřednictvím položky Data o redistribuci v sekci strom Pokročilý beton > 1D prvek. Tato položka je aktivní jen tehdy, jestliže:
· je vybrán kód EN v sekci Projekt > Základní data,
· je vybrán materiál beton v sekci Projekt > Základní data,
· v projektu je definován jeden nebo více spojitých nosníků.
Po kliknutí na položku Data o redistribuci musí uživatel vybrat jeden spojitý nosník a metodu a podpory pro výpočet v dialogovém okně Přerozdělený moment.
Pozn. :
· Pro spojitý nosník nelze zadat data přerozdělení, je-li VYPNUTO grafické zobrazení spojitého nosníku. Toto zobrazení lze ZAPNOUT pomocí položky Parametry zobrazení > Model > Jiná data modelu > Spojitý nosník.
· Lze nastavit pouze vstupní parametr pro ohybový moment My a pro podpory ve směru osy z systému LSS.
V dialogovém okně je k dispozici seznam všech podpor ve směru lokální osy z (názvy podpor) pro všechny fáze výstavby. Jsou podporovány všechny typy podpor (standardní podpory, sloupy, křížení prvků). Každá podpora má následující vlastnosti:
· x [m]
o neměnná hodnota, udává pozici podpory na spojitém nosníku
· Redukovat
o Je-li toto políčko zaškrtnuto, dochází k přerozdělení momentu M nad touto podporou.
o Ve výchozím stavu je toto políčko zaškrtnuto.
o Hodnotu lze nastavit parametricky pomocí logického parametru.
· Redistribuce
o Výběrová položka pro volbu typu metody pro výpočet přerozděleného ohybového momentu. Uživatel může vybrat tyto metody:
§ EN 1992-1-1,5.5(4), výchozí metoda
§ Moment únosnosti
§ Uživatelské zadání
o Je aktivní jen tehdy, je-li zaškrtnuto políčko Redukovat.
· Fáze výstavby a provozu
o Podpory lze definovat ve více fázích výstavby a tato vlastnost dovoluje uživateli vybrat fáze výstavby, pro které bude moment nad podporou přerozdělen.
o Tato možnost je aktivní, jsou-li definovány fáze výstavby a je-li zaškrtnuto políčko Přerozdělený moment pro jednu fázi výstavby – viz kapitola 3.2.
o Seznam fází výstavby, pro které bude přerozdělen moment nad podporou. V seznamu jsou uvedeny pouze fáze výstavby se zaškrtnutým políčkem Přerozdělený moment.
o Seznam fází výstavby lze upravit po stisknutí tlačítka
. Uživatel může vybrat fáze výstavby, pro které bude přerozdělen moment nad podporou. V seznamu v dialogovém okně Výběr fází výstavby jsou uvedeny pouze fáze výstavby se zaškrtnutým políčkem Přerozdělený moment.
Pro uživatelský vstup (přerozdělení zadané uživatelem) jsou k dispozici další vlastnosti.
· Stejné zadání vnitřní podpory
o Je aktivní jen pro vnitřní podporu.
o Není-li toto políčko zaškrtnuto, mohou se vstupní hodnoty pro levou a pravou stranu podpory lišit.
o Je-li toto políčko zaškrtnuto, jsou vstupní hodnoty pro obě strany podpory stejné.
o Hodnotu lze nastavit parametricky prostřednictvím logického parametru.
|
Stejné zadání vnitřní podpory - zaškrtnuto |
Stejné zadání vnitřní podpory - nezaškrtnuto |
· Rovnováha Mred
o Je aktivní jen pro vnitřní podporu a je-li zrušeno zaškrtnutí políčka Stejné zadání vnitřní podpory.
o Jedná se o výběrovou položku pro výběr metody nalezení rovnováhy přerozděleného momentu nad vnitřní podporou. Podporovány jsou tři možnosti:
§ Není (výchozí hodnota) – přerozdělený ohybový moment na levé a pravé straně podpory se mohou lišit.
§ Min. – přerozdělený ohybový moment na levé a pravé straně podpory jsou shodné, minimum na obou stranách.
§ Max. – přerozdělený ohybový moment na levé a pravé straně podpory jsou shodné, maximum na obou stranách.
|
Rovnováha Mred |
Není |
|
|
Min |
||
|
Max |
· Typ zadání
o Výběrová položka pro typ výstupu, jsou podporovány dva typy:
§ Delta – uživatel zadá hodnotuDM (redukce momentu), která se odečte od pružného ohybového momentu.
§ Celkem(výchozí) – uživatel zadá přímo hodnotu přerozděleného momentu nad podporou.
|
Typ zadání = Celkem |
Typ zadání = Delta |
· Hodnota
o Pro každou stranu vnitřních podpor lze zadat jiný typ.
o Lze zadat pouze hodnotu ohybového momentu My (kolem osy y systému LSS).
o Jedná se o výběrovou položku pro typ hodnoty se dvěma položkami.
§ Abs (výchozí) – hodnota se zadává jako reálná a hodnoty Mr(l), delta Mr(l), Mr(r), delta Mr(r) lze nastavit parametricky prostřednictvím parametru Moment.
§ Rel – zadává se relativní hodnota a hodnoty Mr(l), delta Mr(l), Mr(r), delta Mr(r) lze nastavit parametricky prostřednictvím parametru Relative.
· Mr(l) nebo delta Mr(l)
o Textové pole pro zadání hodnoty na levé straně podpory.
o Pro podporu umístěnou na začátku spojitého nosníku je neaktivní.
o Typ hodnoty závisí na vlastnostech Typ zadání a Hodnota.
§ Typ zadání = Celkem a Hodnota = Abs– uživatel zadá přímo absolutní hodnotu přerozděleného momentu (Mr(l)). Konečná hodnota přerozděleného momentu je stejná jako vstupní hodnota. Měla by být zadána záporná hodnota.
§ Typ zadání = Celkem a Hodnota = Rel– uživatel zadá relativní hodnotu přerozděleného momentu (Mr(l)) v intervalu od 0 do 1. Konečná hodnota přerozděleného momentu závisí na hodnotě pružného ohybového momentu.
§ Typ zadání = Delta a Hodnota = Abs– uživatel zadá absolutní hodnotu redukce momentu (delta Mr(l)), která se odečte od pružného ohybového momentu. Konečná hodnota přerozděleného momentu tedy závisí na hodnotě pružného ohybového momentu. Měla by být zadána kladná hodnota.
§ Typ zadání = Delta a Hodnota = Rel– uživatel zadá relativní hodnotu redukce momentu (delta Mr(l)). Redukce momentu závisí na hodnotě pružného ohybového momentu. Konečná hodnota přerozděleného momentu se vypočte odečtením hodnoty redukce momentu od pružného ohybového momentu.
· Mr(r) nebo delta Mr(r)
o Textové pole pro zadání hodnoty na pravé straně podpory.
o Je neaktivní pro podporu umístěnou na konci spojitého nosníku a také pro vnitřní podporu, je-li zaškrtnuto políčko Stejné zadání vnitřní podpory.
o Typ hodnoty závisí na vlastnostech Typ zadání a Hodnota.
§ Typ zadání = Celkem a Hodnota = Abs– uživatel zadá přímo absolutní hodnotu přerozděleného momentu (Mr(r)). Konečná hodnota přerozděleného momentu je stejná jako vstupní hodnota. Měla by být zadána záporná hodnota.
§ Typ zadání = Celkem a Hodnota = Rel– uživatel zadá relativní hodnotu přerozděleného momentu (Mr(r)) v intervalu od 0 do 1. Konečná hodnota přerozděleného momentu závisí na hodnotě pružného ohybového momentu.
§ Typ zadání = Delta a Hodnota = Abs– uživatel zadá absolutní hodnotu redukce momentu (delta Mr(r)), která se odečte od pružného ohybového momentu. Konečná hodnota přerozděleného momentu tedy závisí na hodnotě pružného ohybového momentu. Měla by být zadána kladná hodnota.
§ Typ zadání = Delta a Hodnota = Rel– uživatel zadá relativní hodnotu redukce momentu (delta Mr(r)). Redukce momentu závisí na hodnotě pružného ohybového momentu. Konečná hodnota přerozděleného momentu se vypočítá odečtením hodnoty redukce momentu od pružného ohybového momentu.
Vstupní hodnoty dat RM lze zobrazit v číselném výstupu v dokumentu pomocí položky Data o redistribuci.
Ve výchozí tabulce se zobrazují všechny vlastnosti dat přerozdělení. Vstupní hodnoty lze změnit přímo v dokumentu (po dvojím kliknutí na hodnotu) nebo prostřednictvím kódu XML.
Možnost výpočtu a posouzení přerozděleného ohybového momentu vnesla do několika servisů některé změny oproti předchozím verzím systému SCIA Engineer:
· Nové zaškrtávací políčko Přerozdělení momentu
o Nachází se v následujících servisech:
§ Vnitřní síly na prutu (strom Výsledky > Pruty)
§ Návrh výztuže (strom Pokročilý beton > 1D prvek > Automatický návrh výztuže na prvku)
§ Průřezové charakteristiky (strom Pokročilý beton > 1D prvek)
§ Vnitřní síly (strom Pokročilý beton > 1D prvek)
§ Návrhové As (strom Pokročilý beton > 1D prvek > Návrh prutu)
§ Návrh nepředpínací výztuže v předpjatém průřezu (strom Pokročilý beton > 1D prvek > Návrh prutu)
§ Metoda mezních přetvoření (strom Pokročilý beton > 1D prvek > Posouzení > Posouzení nepředpjatého betonu)
§ Posouzení únosnosti (strom Pokročilý beton > 1D prvek > Posouzení > Posouzení nepředpjatého betonu)
§ Metoda mezních přetvoření (strom Pokročilý beton > 1D prvek > Posouzení > Posouzení předpjatého betonu)
§ Posouzení únosnosti (strom Pokročilý beton > 1D prvek > Posouzení > Posouzení předpjatého betonu)
§ Dovolené namáhání betonu (strom Pokročilý beton > 1D prvek > Posouzení > Posouzení předpjatého betonu)
§ Dovolené namáhání betonu (strom Pokročilý beton > 1D prvek > Posouzení > Posouzení předpjatého betonu)
§ Dovolená namáhání
o Je aktivní jen pro:
§ kombinace MSÚ se zaškrtnutým políčkem Přerozdělení ohybového momentu,
§ třídy s jednou nebo více kombinacemi MSÚ se zaškrtnutým políčkem Přerozdělení ohybového momentu, viz kapitola3.
o Je-li toto políčko zaškrtnuto, bere se v úvahu přerozdělený ohybový moment (s redukcí momentu ZS), v opačném případě se bere v úvahu pružný ohybový moment (bez redukce momentu ZS).
· Nový typ zatížení Zatěžovací stavy - redukce momentů
o Nachází se v následujících servisech:
§ Vnitřní síly na prutu (strom Výsledky > Pruty)
§ Vnitřní síly (strom Pokročilý beton > 1D prvek)
o Tato možnost je aktivní, je-li použita jedna nebo více kombinací s přerozdělením (ve vlastnostech kombinace je zaškrtnuto políčko Přerozdělení ohybového momentu) – viz kapitola 3.
o Je-li vybrán tento typ zatížení, aktivuje se nová výběrová položka Zatěžovací stavy - redukce momentů se seznamem všech případů zatížení s redukcí momentu pro všechny kombinace se zaškrtnutým políčkem Přerozdělení ohybového momentu. Název zatěžovacího stavu je odvozen od názvu zdrojové přerozdělené kombinace.
· Nová hodnota Posoudit redistribuci
o Nachází se v následujících servisech:
§ Metoda mezních přetvoření (strom Pokročilý beton > 1D prvek > Posouzení > Posouzení nepředpjatého betonu)
§ Posouzení únosnosti (strom Pokročilý beton > 1D prvek > Posouzení > Posouzení nepředpjatého betonu)
§ Metoda mezních přetvoření (strom Pokročilý beton > 1D prvek > Posouzení > Posouzení předpjatého betonu)
§ Posouzení únosnosti (strom Pokročilý beton > 1D prvek > Posouzení > Posouzení předpjatého betonu)
o Je aktivní jen tehdy, je-li zaškrtnuto políčko Přerozdělení momentu.
o Je-li tato hodnota vybrána, posuzuje se hodnota přerozděleného ohybového momentu podle nastavení betonu (Nastavení betonu > Obecné > Výpočet > záložka Pruty > skupina Posoudit redistribuované momenty).
Výpočet přerozděleného ohybového momentu kolem lokální osy y prvku se spouští bezprostředně po lineárním výpočtu (analýze MKP) s následujícími nastavenými vstupy:
· definice kombinace a fází výstavby, kapitola 3,
· data přerozdělení, kapitola 5,
· výztuž:
o skutečná nepředpínací výztuž zadaná uživatelem (vložky REDES nebo volné vložky),
o předpínací výztuž (kabel nebo lana).
Po změně těchto vstupních dat jsou výsledky odstraněny a výpočet je nutné spustit znovu. Přerozdělené ohybové momenty se berou v úvahu u servisů pro vyhodnocení výsledků a posuzování jen tehdy, je-li zaškrtnuto políčko Přerozdělení momentu.
Postup výpočtu:
· Níže uvedenou metodou jsou vypočteny dvě koncové redukce momentu v každém poli (jedna redukce momentu nad vnější podporou, dva momenty nad vnitřní podporou – na levé a pravé straně).
· Redukce momentů jsou přepočteny do řezů po délce pole (předpokládá se lineární průběh po délce pole).
· Ve smyčce přes všechny řezy v poli je spuštěn řešič redukce momentů průřezech, přičemž:
o je vypočteno napětí,
o je provedena integrace sil ve fázích průřezů a kabelů s ohledem na nárůst modulu pružnosti E v čase (stárnutí, změny modulu E…).
· Výsledky (síly ve fázích průřezů a kabelů) jsou vloženy do nového zatěžovacího stavu – redukce momentů.
· Nový zatěžovací stav – redukce momentů – je přidán do kombinace s přerozdělením (ve vlastnostech kombinace je zaškrtnuto políčko Přerozdělení ohybového momentu) podobně jako u stálého zatěžovacího stavu, viz kapitola 3.3.
|
i, j |
je číslo podpory |
|
n |
je číslo pole spojitého nosníku |
|
Mlin,i,p |
je pružný ohybový moment nad podporou i na pravé straně |
|
Mlin,j,l |
je pružný ohybový moment nad podporou j na levé straně |
|
Mlin,n,l |
je pružný ohybový moment nad levou podporou pole n |
|
Mlin,n,p |
je pružný ohybový moment nad pravou podporou pole n |
|
Mred,i,p |
je přerozdělený ohybový moment nad podporou i na pravé straně |
|
Mred,j,l |
je přerozdělený ohybový moment nad podporou j na levé straně |
|
Mred,n,l |
je přerozdělený ohybový moment nad levou podporou pole n |
|
Mred,n,p |
je přerozdělený ohybový moment nad pravou podporou pole n |
|
ΔMi,p |
je redukce momentu nad podporou i na pravé straně |
|
ΔMj,l |
je redukce momentu nad podporou j na levé straně |
|
ΔMn,l |
je redukce momentu nad levou podporou pole n |
|
ΔMn,p |
je redukce momentu nad levou podporou pole n |
Pozn. :
· Hodnota přerozděleného ohybového momentu a redukce momentu jsou použity jako vstupní hodnoty na levé nebo pravé straně podpory, nikoli na levé/pravé straně pole.
· Moment Mz (kolem lokální osy z prvku) není přerozdělován.
Podporovány jsou čtyři typy metod výpočtu dvou koncových redukcí momentu v poli:
· EN 1992-1-1,5.5(4), výchozí metoda
· Moment únosnosti
· Uživatelské zadání
Jde o lineární elastickou analýzu s omezeným přerozdělením vypočtenou podle EN 1992-1-1, článek 5.5. Redukce momentu nad podporou se počítá podle vzorce
a následně je vypočten přerozdělený ohybový moment ze vzorce
kde
|
DM |
je redukce momentu nad podporou |
|
Mlin |
je pružný ohybový moment z lineární analýzy |
|
Mred |
je přerozdělený ohybový moment |
|
d |
je poměr přerozděleného ohybového momentu k pružnému ohybovému momentu vypočtenému podle vzorců 5.10a a 5.10 b normy EN 1992-1-1: d = max (d1;d2 ) < 1,0 d1 = k1 + k2·xu/d pro fck ≤ 50 MPa = k3 + k4·xu/d pro fck > 50 MPa d2 = k5 pro nepředpínací výztuž tříd B a C = k6 pro nepředpínací výztuž třídy A a pro předpínací výztuž |
|
xu |
je výška neutrální osy v MSÚ vypočtená pro přerozdělený ohybový moment po druhém kroku iteračního výpočtu |
|
d |
je efektivní výška průřezu |
|
k1 - k6 |
jsou parametry pro výpočet hodnoty d. Hodnoty lze nastavit v sekci Nastavení betonu > Obecné > Národní dodatek. Některé parametry závisejí na hodnotě ecu2. |
|
εcu2 |
je mezní přetvoření betonu. Tuto hodnotu určuje program automaticky z vlastností betonu v tlaku. |
Omezení:
· U spojitého nosníku musí být zadána skutečná nepředpínací výztuž zadaná uživatelem nebo předpínací výztuž.
· Musí být nalezena rovnováha pro MSÚ.
· Poměr délek sousedních polí spojitého nosníku musí být v rozsahu od 0,5 do 2 (program musí kontrolovat poměr polí).
· Nosník musí být zatížen převážně ohybem, tzn. nad podporou musí být splněna následující podmínka (viz kapitolu 4):
· Poměr přerozděleného ohybového momentu k pružnému ohybovému momentu musí být menší než 1.
· Nejsou-li podmínky splněny, moment nebude přerozdělen a program vrátí varování nebo chybu.
Pozn. :
· Při výpočtu řezu s více fázemi se pro výpočet hodnoty d používá nejnižší kvalita betonu (hodnoty fck a ecu2) ze všech fází průřezu.
· U řezu s výhradně předpínacími výztužemi se pro výpočet hodnoty d používá hodnota k6 (třída A).
· U řezu s různými třídami výztuže se pro výpočet hodnoty d používá nejnižší kvalita ze všech výztuží (hodnota k6 pro třídu A).
· Výška neutrální osy v MSÚ se počítá pro přerozdělený ohybový moment získaný po druhém kroku iteračního výpočtu, protože výpočet přerozděleného ohybového momentu vede na iterační výpočet. Úplná iterace se nepoužívá proto, že výpočet by trval velmi dlouho.
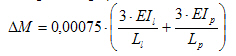
Pro výpočet redukce momentu podle francouzské normy DTU se používá článek 3.2.2.5c. Přerozdělení se odhaduje na základě lokálního pootočení nad podporou ve výši 0,003 rad. Redukci momentu přerozdělenou směrem k sousedním polím lze v první aproximaci vypočítat takto:
kde
|
ΔM |
je redukce momentu nad podporou |
|
EIl |
je ohybová tuhost levého pole spojitého nosníku v místě podpory |
|
Ll |
je délka levého pole spojitého nosníku v místě podpory (hodnota je uvedena ve vlastnostech spojitého nosníku, viz kapitola 2) |
|
EIp |
je ohybová tuhost pravého pole spojitého nosníku v místě podpory |
|
Lp |
je délka pravého pole spojitého nosníku v místě podpory (hodnota je uvedena ve vlastnostech spojitého nosníku, viz kapitola 2) |
V obvyklých případech tuhosti stropních nosníků tato hodnota obecně vede k redukci momentu přibližně ve výši 1/10 pružného momentu sousedních polí.
,Omezení:
· Na tuto metodu se nevztahují žádná omezení.
Pozn. :
· Při výpočtu (hodnota Ec) řezu s více fázemi se používá nejnižší kvalita betonu ze všech fází průřezu.
· Ohybová tuhost EIl se počítá na levé straně podpory (bezprostředně před řezem).
· Ohybová tuhost EIp se počítá na pravé straně podpory (bezprostředně za řezem).
· Pro výpočet je použit sečný modul pružnosti z vlastností materiálu.
Přerozdělený ohybový moment nad podporou se rovná momentu únosnosti průřezu. Moment únosnosti se zjišťuje z interakčního diagramu pro metodu Mu (moment únosnosti se počítá jako průsečík rovnoběžky k ose MRd procházející bodem [NEd;MEd,y;MEd,z] ) a interakčního diagramu). Osa MRd je výslednicí vektorů MRd,y a MRd,z.
Pozn. :
· Přímka pro výpočet průsečíku s interakčním diagramem je v tomto případě rovnoběžná s přímkou My, protože moment Mz je nulový.
Přerozdělený ohybový moment a redukce momentu se počítají následujícím postupem:
Mred = MRd,min (Vu,min) pro Mlin (V) < 0 kNm
Mred = MRd,max (Vu,max) pro Mlin (V) ≥ 0 kNm
kde
|
ΔM |
je redukce momentu nad podporou |
|
Mlin |
je pružný ohybový moment z lineární analýzy |
|
Mred |
je přerozdělený ohybový moment |
|
MRd,min (Vu,min) |
je minimální hodnota momentu únosnosti určená z interakčního diagramu průřezu. Symbol v závorkách se používá pro zápis hodnoty v programu. |
|
MRd,max (Vu,max) |
je maximální hodnota momentu únosnosti určená z interakčního diagramu průřezu. Symbol v závorkách se používá pro zápis hodnoty v programu. |
,Omezení:
· U spojitého nosníku musí být zadána skutečná nepředpínací výztuž zadaná uživatelem nebo předpínací výztuž.
· Nejsou-li podmínky splněny, moment nebude přerozdělen a program vrátí varování nebo chybu.
Přerozdělený ohybový moment nebo redukci momentu zadává přímo uživatel v datech přerozdělení, viz kapitola 5. Hodnota přerozděleného ohybového momentu a redukce momentu závisejí na vlastnostech Typ hodnoty a Hodnota v datech přerozdělení a počítají se podle následující tabulky.
|
Vlastnosti v datech přerozdělení |
Vzorce pro výpočet |
||
|
Typ zadání |
Hodnota |
Přerozdělený moment |
Redukce momentu |
|
Celkem |
Abs |
Mred = vstup |
DM = Mlin - vstup |
|
Celkem |
Rel |
Mred = vstup·Mlin |
DM = Mlin·(1-vstup) |
|
Delta |
Abs |
Mred = Mlin - vstup |
DM = vstup |
|
Delta |
Rel |
Mred = Mlin·(1-vstup) |
DM = Mlin·vstup |
kde
|
ΔM |
je redukce momentu nad podporou |
|
Mlin |
je pružný ohybový moment z lineární analýzy |
|
Mred |
je přerozdělený ohybový moment |
|
vstup |
je vstupní hodnota vlastností Mr(l) nebo delta Mr(l) a Mr(r) nebo delta Mr(r) v datech přerozdělení |
,Omezení:
· Na tuto metodu se nevztahují žádná omezení.
Uživatel může posoudit vypočtený přerozdělený ohybový moment My (kolem lokální osy y prvku) dvěma metodami:
· posouzení podle 5.5(4) – metoda v EN 1992-1-1, článek 5.5(4),
· posouzení podle 5.6.2(2) – metoda v EN 1992-1-1, článek 5.6.2(2).
Typ metody lze nastavit v sekci Nastavení betonu > Obecné > Výpočet > záložkaPruty > skupina Posoudit redistribuované momenty (může být vybrána jedna nebo více metod nebo i žádná metoda). Přerozdělený ohybový moment lze posoudit v následujících servisech:
· Metoda mezních přetvoření (strom Pokročilý beton > 1D prvek > Posouzení > Posouzení nepředpjatého betonu)
· Posouzení únosnosti (strom Pokročilý beton > 1D prvek > Posouzení > Posouzení nepředpjatého betonu)
· Metoda mezních přetvoření (strom Pokročilý beton > 1D prvek > Posouzení > Posouzení předpjatého betonu)
· Posouzení únosnosti (strom Pokročilý beton > 1D prvek > Posouzení > Posouzení předpjatého betonu)
Pro posouzení přerozdělení musí být splněny některé podmínky:
· Políčko Přerozdělení momentu musí být zaškrtnuto.
· V nastavení betonu musí být zaškrtnuta políčka Posouzení podle 5.5(4) nebo Posouzení podle 5.6.2(2).
· Musí být zaškrtnuta nebo vybrána možnost Posoudit redistribuci.
Přerozdělené ohybové momenty se posuzují jen v řezech nad podporami. Maximální hodnota posudku ze všech vybraných metod je znázorněna graficky. V číselném výstupu jsou uvedeny následující údaje:
· souhrnná tabulka – zobrazuje se vždy,
· tabulka posudku podle 5.5(4), je-li tato metoda vybrána v nastavení betonu,
· tabulka posudku podle 5.6.2(2), je-li tato metoda vybrána v nastavení betonu.
Pozn. :
· Je-li přerozdělený ohybový moment v některém řezu nevyhovující, druhý posudek, při kterém se bere v úvahu ohybový moment (posudek únosnosti, posudek napětí, posudek přetvoření...), nebude proveden a program vrátí chybu 898 (Posudek přerozděleného ohybového momentu je nevyhovující. Použijte pouze lineární vnitřní síly).
· Není-li v řezu nad podporou nalezena rovnováha pro MSÚ, nebude proveden posudek přerozdělení, program vrátí chybu 583 (Nulové síly nebo nebyla nalezena rovnováha) a tabulky posudku podle 5.5(4) a 5.6.2(2) nebudou pro tento řez obsahovat žádné výsledky.
Posouzení přerozdělení se provádí podle následujícího diagramu:
Výsledky všech posouzení jsou uvedeny v souhrnné tabulce posudku prvku nebo posudku prutu.
Tabulka a editor tabulek pracují s následujícími hodnotami:
|
Člen |
název a číslo prvku |
|
dx |
pozice řezu standardního výsledku |
|
Stav |
typ a název hraničního zatěžovacího stavu / kombinace / třídy |
|
N |
normálová síla |
|
Nlim |
uvažovaná mez normálové síly při převážném zatížení ohybem |
|
My |
lineární ohybový moment před přerozdělením vypočtený pro zdrojovou kombinaci nebo přerozdělenou kombinaci |
|
Mred |
přerozdělený ohybový moment vypočtený pro kombinaci přerozdělení |
|
δ |
poměr přerozděleného momentu k pružnému ohybovému momentu |
|
δlim |
hraniční poměr přerozděleného momentu k pružnému ohybovému momentu vypočtený podle vzorce 5.10 |
|
Posudek 5.5(4) |
Posudek přerozděleného ohybového momentu podle EN 1992-1-1, kapitola 5.5(4). Možné výsledky posouzení: VYHOVUJE – uspokojivý posudek NEVYHOVUJE – neuspokojivý posudek VYPNUTO – posudek je vypnut v nastavení betonu NEPROVEDENO – nebyla nalezena rovnováha |
|
Posudek 5.6.2(2) |
Posudek přerozděleného ohybového momentu podle EN 1992-1-1, kapitola 5.6.2(2). Možné výsledky posouzení: VYHOVUJE – uspokojivý posudek NEVYHOVUJE – neuspokojivý posudek VYPNUTO – posudek je vypnut v nastavení betonu NEPROVEDENO – posudek je v nastavení betonu zapnut a vyhovuje posudek podle 5.5(4) nebo nebyla nalezena rovnováha |
|
Posudek 5.6(3) |
Posudek přerozděleného ohybového momentu podle EN 1992-1-1, kapitola 5.6(3). Tento posudek není implementován, jeho stav je proto vždy VYPNUTO. |
|
Posudekcal |
hodnota jednotkového posudku pro všechny dílčí posudky |
|
Posudeklim |
mezní hodnota jednotkového posudku |
|
Posudek |
výsledky posouzení (VYHOVUJE nebo NEVYHOVUJE) |
|
V/Ch |
počet varování nebo chyb |
Tabulky posouzení konstrukčních zásad jsou v dokumentu uvedeny, pokud:
· je zaškrtnuto políčko Výsledky posudku v dialogovém okně Změna nastavení,
· je vybrán řez nad podporou.
Souhrnná tabulka posudku prutu obsahuje následující hodnoty:
Tento posudek se provádí podle normy EN 1992-1-1, článku 5.5(4), a obsahuje tři dílčí posudky:
· posouzení, zda je prvek zatížen převážně ohybem,
· posouzení poměru sousedních polí,
· poměr přerozděleného momentu k pružnému ohybovému momentu.
Je-li posudek vyhovující, lze v MSÚ použít lineární elastickou analýzu s omezeným přerozdělením. Posudek je vyhovující jen tehdy, jsou-li splněny podmínky všech dílčích posudků. Jednotkový posudek se počítá jako maximální hodnota ze všech dílčích posudků:
Je-li posudek nevyhovující, není vyhovující ani přerozdělený ohybový moment a měl by být posouzen s použitím plastické analýzy nebo by měl být pro výpočet použit lineární elastický ohybový moment.
Kód EN 1992-1-1 nedefinuje, zda je prvek zatížen převážně ohybem, do nastavení betonu proto bylo přidáno nové zaškrtávací políčko Posoudit tlak v nosníku (viz kapitola 4), které se používá také k tomuto posouzení.
Prvek je zatížen převážně ohybem, je-li splněna následující podmínka:

kde
|
N |
je normálová síla vyvinutá vnějším zatížením a předpětím |
|
NEd |
je normálová síla vyvinutá vnějším zatížením |
|
Np |
je normálová síla vyvinutá předpětím |
|
Nlim |
je mez normálové síly při převážném zatížení ohybem |
|
x |
je relativní číslo určené v nastavení betonu s výchozí hodnotou 0,1 |
|
nph |
je počet fází průřezu |
|
Ac,i |
je plocha betonu v i-té fázi průřezu |
|
fcd,i |
je návrhová hodnota pevnosti betonu v tlaku v i-té fázi průřezu |
Jednotkový posudek se počítá jako poměr normálové síly vyvinuté vnějším zatížením a předpětím k limitu normálové síly.

Pozn. :
· Toto posouzení se provádí vždy, nezávisle na dostupnosti zaškrtávacího políčka Posoudit tlak v sekci Nastavení betonu > Obecné > Výpočet > záložka Pruty.
· Je-li jednotkový posudek (N/Nlim) větší než 1, program vrátí varování 884 (Prvek není zatížen převážně ohybem).
Tento posudek se provádí jen pro vnitřní podporu spojitého nosníku, pro který musí být splněna následující podmínka:
2,0³Lleft/Lright³0,5
Tuto podmínku lze zapsat také takto:

kde
|
Lleft |
je délka pole vlevo od podpory |
|
Lright |
je délka pole vpravo od podpory |
|
Lleft/Lright |
je poměr sousedních polí |
|
(Lleft/Lright)lim |
je mezní poměr sousedních polí pro Lleft ≥ Lright platí (Lleft/Lright)lim = 2 pro Lleft < Lright platí (Lleft/Lright)lim = 0,5 |
Jednotkový posudek se počítá podle následujících vzorců:
Pozn. :
· Tento posudek se provádí jen pro vnitřní podpory spojitého nosníku.
· Není-li podmínka tohoto posudku splněna, program vrátí varování 885 (Poměr délek sousedních polí je mimo rozsah (0,5-2,0)).
V tomto posudku je posuzováno splnění následující podmínky:
kde
|
δ |
je poměr přerozděleného momentu k pružnému ohybovému momentu |
|
Mlin |
je pružný ohybový moment z lineární analýzy |
|
Mred |
je přerozdělený ohybový moment |
|
δlim |
je mezní poměr přerozděleného ohybového momentu k pružnému ohybovému momentu vypočtenému podle vzorců 5.10a a 5.10 b normy EN 1992-1-1: dlim = max(k1+ k2×xu/d; k5) pro fck£ 50MPa a pro nepředpínací výztuže tříd B a C = max(k1+ k2×xu/d; k6) pro fck£ 50MPa a pro nepředpínací výztuže třídy A nebo předpínací výztuž = max(k3+ k4×xu/d; k5) pro fck > 50MPa a pro nepředpínací výztuže tříd B a C = max(k3+ k4×xu/d; k6) pro fck > 50MPa a pro nepředpínací výztuže třídy A nebo předpínací výztuž |
|
xu |
je výška tlačené zóny v MSÚ, vypočtená pro přerozdělený ohybový moment |
|
d |
je efektivní výška průřezu |
|
k1 - k6 |
jsou parametry pro výpočet hodnoty d. Hodnoty lze nastavit v sekci Nastavení betonu > Obecné > Národní dodatek. Některé parametry závisejí na hodnotě ecu2. |
|
ecu2 |
je mezní přetvoření betonu. Tuto hodnotu určuje program automaticky z vlastností betonu v tlaku. |
Jednotkový posudek se počítá podle následujícího vzorce:
Pozn. :
· Při výpočtu řezu s více fázemi se pro výpočet hodnoty dlim používá nejnižší kvalita betonu (hodnoty fck a ecu2) ze všech fází průřezu.
· U řezu s výhradně předpínacími výztužemi se pro výpočet hodnoty dlim používá hodnota k6 (třída A).
· U řezu s různými třídami výztuže se pro výpočet hodnoty dlim používá nejnižší kvalita ze všech výztuží (hodnota k6 pro třídu A).
· Výška neutrální osy v MSÚ se počítá po přerozdělení (pro přerozdělený ohybový moment).
· Není-li podmínka tohoto posudku splněna, program vrátí varování 886 (Poměr přerozděleného ohybového momentu k pružnému je nižší než mezní hodnota nebo větší než 1,0).
Číselný výstup lze zobrazit v posudku prvku nebo v posudku prutu.
K dispozici jsou dva typy tabulek pro zobrazení výsledků posudku přerozdělení ohybového momentu podle normy 5.5 (4):
· výchozí
· detailní
Tabulka a editor tabulek pracují s následujícími hodnotami:
|
Člen |
název a číslo prvku |
|
dx |
pozice řezu výsledku |
|
Stav |
typ a název hraničního zatěžovacího stavu / kombinace / třídy |
|
N |
normálová síla |
|
Nlim |
uvažovaná mez normálové síly při převážném zatížení ohybem |
|
My |
lineární ohybový moment před přerozdělením vypočtený pro zdrojovou kombinaci nebo přerozdělenou kombinaci |
|
Mred |
přerozdělený ohybový moment vypočtený pro kombinaci přerozdělení |
|
δ |
poměr přerozděleného momentu k pružnému ohybovému momentu. |
|
δlim |
hraniční poměr přerozděleného momentu k pružnému ohybovému momentu vypočtený podle vzorce 5.10 |
|
Lleft/Lright |
poměr sousedních polí |
|
(Lleft/Lright)lim |
mezní poměr sousedních polí |
|
Lleft |
délka pole vlevo od podpory (efektivní rozpětí) |
|
Lright |
délka pole vpravo od podpory (efektivní rozpětí) |
|
xu |
výška osy tlačené zóny po přerozdělení |
|
d |
efektivní výška průřezu |
|
Třída.výzt |
třída výztužné oceli |
|
fck |
charakteristické válcové napětí betonu v tlaku v tlačené zóně |
|
Posudekcal |
hodnota jednotkového posudku pro všechny dílčí posudky |
|
Posudeklim |
mezní hodnota jednotkového posudku |
|
Posudek |
výsledky posouzení (VYHOVUJE nebo NEVYHOVUJE) |
|
V/Ch |
počet varování nebo chyb |
Tabulky posouzení konstrukčních zásad jsou v dokumentu uvedeny, pokud:
· je zaškrtnuto políčko Výsledky posudku v dialogovém okně Změna nastavení,
· je vybrán řez nad podporou.
Tabulka posudku podle 5.5(4) pro posudek prutu obsahuje následující hodnoty:
Tato metoda posuzování používá plastickou analýzu bez přímého výpočtu rotační únosnosti. Plastická analýza je extrémní případ přerozdělení momentu, kdy je moment rozdělen podle toho, jak je mu konstrukce schopna odolávat.
Tento posudek se provádí podle normy EN 1992-1-1, článku 5.6.2(2), a obsahuje tři dílčí posudky:
· posudek výšky tlačené zóny po přerozdělení,
· posudek třídy výztuže,
· posudek poměru momentů v místě střední podpory k momentu v poli.
Posudek je vyhovující jen tehdy, jsou-li splněny podmínky všech dílčích posudků. Jednotkový posudek se počítá jako maximální hodnota ze všech dílčích posudků:
Je-li posudek nevyhovující, není vyhovující ani přerozdělený ohybový moment a měl by být posouzen s použitím plastické analýzy s přímým výpočtem rotační únosnosti (EN 1992-1-1, článek 5.6.3) nebo by měl být pro výpočet použit lineární elastický ohybový moment.
Za dosažení vyhovující rotační únosnosti pro plastickou analýzu se považuje stav, kdy je výška tlačené zóny omezena takto (EN 1992-1-1, článek 5.6.2(2)):
kde
|
xu |
je výška osy tlačené zóny po přerozdělení |
|
d |
je efektivní výška průřezu |
|
xu/d |
je vypočtený poměr xu/d |
|
(xu/d)lim |
je mezní poměr xu/d (xu/d)lim = 0,25 pro fck ≤ 50 MPa (třídy pevnosti ≤ C50/60) (xu/d)lim = 0,15 pro fck > 50 MPa (třídy pevnosti ≥ C55/67) |
|
fck |
je charakteristické válcové napětí betonu v tlaku v tlačené zóně |
Jednotkový posudek se počítá podle následujícího vzorce:

Pozn. :
· Při výpočtu mezního poměru xu/d pro výpočet průřezu s více fázemi se používá nejnižší kvalita betonu ze všech fází průřezu.
· Není-li podmínka tohoto posudku splněna, program vrátí chybu 887 (Výška neutrální osy po přerozdělení nevyhovuje).
· Pro hodnotu xu > d není posudek zpracován (hodnota xu/d nebude vypočtena a nezobrazí se v číselném výstupu) a program vrátí varování 288 (Posudek xu/d není proveden, protože xu > d (prvek pod tlakem)).
Pro plastickou analýzu lze použít pouze výztuž s velkou tažností. Nepředpínací výztuže třídy A a předpínací výztuže proto nelze v tomto posudku použít vzhledem k jejich nízké tažnosti.
Hodnota jednotkového posudku pro nepředpínací výztuže třídy A a pro výhradně předpínací výztuže se načítá ze sekce Nastavení betonu > Chyby a varování > skupina Hodnota posudku v řezech, kde nelze hodnotu spočítat. Pro ostatní třídy výztuží se jednotkový posudek nepočítá.
Pozn. :
· V následujících situacích není podmínka posudku splněna a program vrátí chybu 863 (Pro tento posudek není doporučena výztuž třídy A ani předpínací výztuž):
o v posuzovaném řezu je definována jen nepředpínací výztuž třídy A,
o v posuzovaném řezu je definována jen předpínací výztuž,
o v posuzovaném řezu je definována předpínací výztuž a nepředpínací výztuž třídy A.
Poměr momentů v místech středních podpor k momentům v sousedním poli musí ležet v intervalu od 0,5 do 2,0 (EN 1992-1-1, článek 5.6.2(2)). To znamená:
kde
|
Mleft |
je pružný ohybový moment na levé straně podpory |
|
Mpos,l |
je maximální pružný ohybový moment v levém poli |
|
Mright |
je pružný ohybový moment na pravé straně podpory |
|
Mpos,r |
je maximální pružný ohybový moment v pravém poli |
|
Mleft/Mpos,l |
je poměr pružného ohybového momentu na levé straně podpory k pružnému momentu v levém poli |
|
(Mleft/Mpos,l)lim |
je mezní poměr ohybového momentu na levé straně pro Mleft ≥ Mpos,l platí (Mleft/Mpos,l)lim = 2 pro Mleft < Mpos,l platí (Mleft/Mpos,l)lim = 0,5 |
|
Mright/Mpos,r |
je poměr pružného ohybového momentu na pravé straně podpory k pružnému momentu v pravém poli |
|
(Mright/Mpos,r)lim |
je mezní poměr ohybového momentu na pravé straně pro Mright ≥ Mpos,r platí (Mright/Mpos,r)lim = 2 pro Mlright < Mpos,r platí (Mright/Mpos,r)lim = 0,5 |
Jednotkový posudek se počítá podle následujících vzorců:
Pozn. :
· Tento posudek je k dispozici pro střední podpory spojitého nosníku s nenulovým pružným ohybovým momentem Mleft nebo Mright.
· U vnější podpory se posuzuje jen jedna strana podpory, je-li pružný ohybový moment nad touto podporou nenulový:
o podpora na začátku prvku (posuzuje se pravá strana podpory pro Mright ¹ 0)
o podpora na konci prvku (posuzuje se levá strana podpory pro Mleft ¹ 0)
· Je-li jednotkový posudek pro tento posudek větší než 1, podmínka posudku není splněna a program vrátí chybu 888 (Poměr pružných momentů v místě podpor k elastickému momentu v poli je mimo rozsah (0,5-2,0)).
Číselný výstup lze zobrazit v posudku prvku nebo v posudku prutu.
K dispozici jsou dva typy tabulek pro zobrazení výsledků posudku přerozdělení ohybového momentu podle normy 5.5 (4):
· výchozí
· detailní
Tabulka a editor tabulek pracují s následujícími hodnotami:
|
Člen |
název a číslo prvku |
|
dx |
pozice řezu výsledku |
|
Stav |
typ a název hraničního zatěžovacího stavu / kombinace / třídy |
|
N |
normálová síla |
|
My |
lineární ohybový moment před přerozdělením vypočtený pro zdrojovou kombinaci nebo přerozdělenou kombinaci |
|
Mred |
přerozdělený ohybový moment vypočtený pro kombinaci přerozdělení |
|
Mleft |
je pružný ohybový moment na levé straně podpory |
|
Mpos,l |
je maximální pružný ohybový moment v levém poli |
|
Mright |
je pružný ohybový moment na pravé straně podpory |
|
Mpos,r |
je maximální pružný ohybový moment v pravém poli |
|
Mleft/Mpos,l |
je poměr pružného ohybového momentu na levé straně podpory k pružnému momentu v levém poli |
|
(Mleft/Mpos,l)lim |
je mezní poměr ohybového momentu na levé straně |
|
Mright/Mpos,r |
je poměr pružného ohybového momentu na pravé straně podpory k pružnému momentu v pravém poli |
|
(Mright/Mpos,r)lim |
je mezní poměr ohybového momentu na pravé straně |
|
xu |
výška osy tlačené zóny po přerozdělení |
|
d |
efektivní výška průřezu |
|
xu/d |
je vypočtený poměr xu/d |
|
(xu/d)lim |
je mezní poměr xu/d |
|
fck |
je charakteristické válcové napětí betonu v tlaku v tlačené zóně |
|
Třída.výzt |
třída výztužné oceli |
|
fck |
charakteristické válcové napětí betonu v tlaku v tlačené zóně |
|
Posudekcal |
hodnota jednotkového posudku pro všechny dílčí posudky |
|
Posudeklim |
mezní hodnota jednotkového posudku |
|
Posudek |
výsledky posouzení (VYHOVUJE nebo NEVYHOVUJE) |
|
V/Ch |
počet varování nebo chyb |
Tabulky posouzení konstrukčních zásad jsou v dokumentu uvedeny, pokud:
· je zaškrtnuto políčko Výsledky posudku v dialogovém okně Změna nastavení,
· je vybrán řez nad podporou.
Tabulka posudku podle 5.6.2(2) pro posudek prutu obsahuje následující hodnoty:
U uživatelské metody lze téměř všechny hodnoty dat přerozdělení parametrizovat (viz kapitola 5) a měnit pomocí kódu XML. Kromě toho lze parametricky nastavovat následující zaškrtávací políčka:
· Přerozdělení ohybových momentů v definici kombinace (viz kapitola 0)
· Přerozdělení momentu ve vlastnostech jednotlivých fází výstavby (viz kapitola 3.2)
|
REDES |
modul produktu SCIA Engineer pro definování a zakreslování skutečných nepředpínacích výztuží |
Šest nepředpínaných spojitých nosníků se dvěma poli, se stejným zatížením, ale s různým počtem horních vložek nad podporou a různými metodami přerozdělení ohybového momentu.
· B1: horní vložky nad podporou =7f16, metoda podle EN 1992-1-1, 5.5(4)
· B2: horní vložky nad podporou =7f16, metoda Moment únosnosti
· B3: horní vložky nad podporou =7f16, uživatelské zadání, delta Mr = 30 kNm
· B4: horní vložky nad podporou =6f16, metoda podle EN 1992-1-1, 5.5(4)
· B5: horní vložky nad podporou =6f16, metoda Moment únosnosti
· B6: horní vložky nad podporou =6f16, uživatelské zadání, delta Mr = 30 kNm
Lineární vnitřní síly podél spojitého nosníku
Nutná plocha
Uživatelem zadaná výztuž pomocí REDES (skutečné vložky)
Posouzení prvků v okrajových řezech na lineární ohybový moment
|
|
Průřez s výztuží |
Interakční diagram |
|
Řez nad podporou pro B1,B2,B3 (x =6,0 m) |
||
|
Řez nad podporou pro B4,B5,B6 (x =6,0 m) |
||
|
Řez uvnitř pole (x =2,4 m a x =9,6 m) |
Řez nad podporou 6f16 (prvky B4-B6) nevyhovuje pro lineární ohybový moment, použili jsme proto funkci přerozdělení.
Byl vypočten přerozdělený ohybový moment pro tři různé metody a pro dva počty horních vložek nad podporou – viz následující tabulka:
|
Přerozdělený ohybový moment nad podporou Mred [kNm] |
Horní výztuž nad podporou |
|
|
7f16 |
6f16 |
|
|
EN 1992-1-1,5.5(4) |
-232,8 (B1) |
-240,4 (B4) |
|
Moment únosnosti |
-252 (B2) |
-219,6 (B5) |
|
Uživatelský vstup (Abs,Delta Mr = 30 kNm) |
-210,4 (B3) |
-210,4 (B6) |
Pozn. :
· Metoda podle EN 1992-1-1, článek 5.5(4)
o Pro horní výztuž 6f16 nebyl moment přerozdělen (je shodný s lineárním pružným momentem), protože nebyla nalezena rovnováha.
· Metoda Moment únosnosti
o Pro horní výztuž 7f16 je přerozdělený ohybový moment větší než lineární pružný ohybový moment, toto přerozdělení je tedy nepoužitelné.
o Podpora na konci prvku (posuzuje se levá strana podpory pro Mleft ¹ 0).
· Uživatelská metoda
o Přerozdělený ohybový moment je nezávislý na výztuži
Podrobné vyhodnocení bude provedeno jen pro konfigurace uvedené v následující tabulce:
|
Metoda |
Mred [kNm] |
Horní vložky |
Vnitřní síly po přerozdělení |
|
EN 1992-1-1,5.5(4) |
-232,8 (B1) |
7f16 |
|
|
Moment únosnosti |
-219,6 (B5) |
6f16 |
|
|
Uživ. vstup (Abs,Delta Mr = 30 kNm) |
-210,4 (B6) |
6f16 |
Posudek přerozděleného ohybového momentu pro prvky B1, B5 a B6
Posudek únosnosti kritického řezu pro prvky B1, B5 a B6
Použití přerozděleného ohybového momentu snižuje ohybový moment nad podporou a umožňuje zmenšit výztuž (horní vložky nad podporou) u metod Moment únosnosti a Uživatelské zadání.