|
||
|
|
||
Obecný postup zadání dynamického zatěžovacího stavu je uveden v kapitole Zadání nového dynamického zatěžovacího stavu.
|
seizmické spektrum X |
Je-li volba zatržena, může uživatel vybrat požadované spektrum pro směr X. Seznam obsahuje všechna spektra zadaná v databázi seizmických spekter. Tlačítkem vedle seznamu se otevře Správce seizmických spekter a uživatel může editovat existující nebo přidat nové spektrum. Více informací o zadávání spekter viz kapitola Definice seizmického spektra. |
|
seizmické spektrum Y |
dtto pro směr Y |
|
seizmické spektrum Z |
dtto pro směr Z |
|
směr X |
Náhradní seizmické síly se počítají z hmot na konstrukci a zrychlení. Hodnota v tomto a dalších dvou polích (pro další směry os) specifikuje směr, ve kterém zemětřesení působí. Hodnota 1 znamená plné působení ve směru dané osy, 0 určuje, že v daném směru zemětřesení nepůsobí. |
|
směr Y |
dtto pro směr Y |
|
směr Z |
dtto pro směr Z |
|
součinitel zrychlení |
Touto hodnotou budou přenásobeny všechny hodnoty zrychlení v tabulce spektra. |
|
úroveň překlopení |
Toto pole určuje výšku bodu, kolem kterého se konstrukce může překlopit. Výška se měří od počátku globálního souřadnicového systému. K tomuto bodu se počítá výsledný klopný moment. |
|
typ vyhodnocení |
Při vyhodnocování výsledků seizmicity existují dva základní přístupy. Viz níže. |
|
SRSS |
Výslednou hodnotu získáme jako odmocninu součtu kvadrátů hodnot pro jednotlivé zatěžovací stavy. Více informací viz kapitola Seizmické zatížení. |
|
Extrém |
Výsledky zohledňují extrémní hodnoty. Více informací viz kapitola Seizmické zatížení. |
|
CQC |
Alternativně lze použít vyhodnocení podle metody CQC (Complete Quadratic Combination), která umožňuje použít graf závislosti tlumení konstrukce na frekvenci kmitání. Tlačítkem [...] se otevře Správce databázetlumení, (což je standardní správce databáze SCIA Engineer. PT ). |
|
Výsledky seznaménkem |
Jestliže ZAPNUTO, vlastní tvar vybraný ve výběrové položce níže se použije pro zadání znamének výsledkových hodnot. Toto má vliv na výsledky 1D a 2D prvků. Jestliže se zatěžovací stav použije v kombinaci, kombinuje se jednou se součinitelem 1 a jednou se součinitelem -1. |
|
Tvar kmitání |
Jestliže volba výše je ZAPNUTA, uživatel může zadat převažující tvar = tvar kmitání, který určuje znaménko výsledků. Lze vybrat možnost "Výchozí", nebo číslo od 1 až do celkového počtu vybraných vlastních tvarů. "Výchozí" zůstává pro tvar kmitání s největším poměrem hmoty. Poznámka: Je obtížné zadat "převažující tvar" automaticky programem, protože se jedná o 3D program, který počítá hmotu ve 3 směrech: X, Y a Z. |
Tuto možnost lze využít při seizmickém výpočtu, pokud se používá SRSS. Jestliže je splněna podmínka přesnosti, tvary se zkombinují dohromady.
Jestliže
přesnost,
kde
tvary (i) a (j) jsou násobné. Pak například
kde tvary 2 a 3 jsou násobné.
|
Sjednotit tvary |
Jestliže ZAPNUTO, vlastní tvary splňující podmínku přesnosti jsou považovány za násobné. |
|
Přesnost |
Podmínka přesnosti pro násobné vlastní tvary. |
|
Jen kmitající hmota |
Když berete v úvahu jen kmitající hmotu, tj. neberete ve výpočtu v úvahu všechny tvary, dopouštíte se jisté chyby. Říkáte vlastně něco jako, že "do výpočtu není zahrnuta veškerá hmota". Tuto "chybu" lze opravit pomocí dvou následujících možností. |
|
Chybějící hmotave tvarech |
Program přepočítá chybějící hmotu ve tvarech, které již byly vypočteny (např. počet tvarů vybraných uživatelem). |
|
Reziduální tvar |
Metoda "Reziduálního tvaru" dosadí chybějící hmotu jako "váhu" (např. standardní zatěžovací stav). S výsledkem tohoto zatěžovacího stavu se zachází jako se "zvláštním přidaným tvarem ". |
Tyto dvě metody (Chybějící hmota ve tvarech a Reziduální tvar) jsou zamýšleny pro větší modely, u nichž je obtížné vypočítat minimální požadované tvary. Francouzská norma například předepisuje všechny tvary až do 33hz, z nichž se pak stanoví poměr kmitající hmoty.
Nikdy nedospějete k dobrým výsledkům, pokud počítáte pouze dva tvary a zbytek řešíte metodou chybějící hmoty nebo zbytkové hmoty. To není účelem.
Výběr ovlivňuje výsledky 1d, 2d
Tímto se myslí rovnoměrně rozdělit chybějící hmotu do známých tvarů a vypočítat deformace pro jednotlivé tvary a poté vnitřní síly pro jednotlivé tvary.
Poté se sečtou podle zvoleného pravidla - SRSS, CQC, MAX.
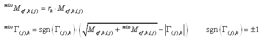
Navrhli jsme přiřadit "chybějící hmotu" ke známému vlastnímu tvaru. Předpokládejme, že jsme určili k vlastních tvarů, kde
k je směr
je efektivní hmota
Chybějící hmota nyní může být jako napsána jako
Poměr mezi efektivní hmotou a chybějící hmotou je
Nyní můžeme napsat tyto vzorečky
Pak
Chybějící hmota se dosadí jako zvláštní přidaný tvar, který se vypočte jako ekvivalentní statický zatěžovací stav
Chybějící hmota se vypočte v každém uzlu jako rozdíl mezi celkovou hmotou a efektivní hmotou
k je směr
i je uzel
j je tvar
je efektivní hmota, směr
k, uzel i
Chybějící hmota nyní může být jako napsána jako
Vypočte se statický zatěžovací stav váhy, se kterým se zachází jako se "skutečným" tvarem.
Pro každý směr k vybraný v rozhraní
"Obecného seizmického zatížení" se vypočte amplituda statického
zatížení jako: 
je zrychlení frekvence oříznutých
frekvencí ve směru k (tj. posledně vypočtená frekvence),
chybějící hmota ve směru
k, uzel i .
Poté se zvláštní přidané tvary sečtou podle zvoleného pravidla - SRSS, CQC, MAX.
Poznámka: V případě CQC nepředpokládáme korelaci s dalšími tvary (tj. přidává se absolutní hodnota).
Poznámka 1:
Směr statických ekvivalentních zatížení je stejný jako smě vybraný uživatelem ve směru spektra.
Poznámka 2:
Pokud uživatel dosadí seizmické zatížení ve 2 nebo 3 globálních směrech, vypočte se statická ekvivalentní hmota v reziduálním tvaru v dosazených 2 nebo 3 globálních směrech s přihlédnutím k tomu, jaké směry jsou v zadání.
Poznámka 3:
Program neposuzuje úroveň oříznuté frekvence. Tato část je zodpovědností uživatele.
Poznámka: Před zadáním prvního zatěžovacího stavu musí být zadána alespoň jedna kombinace skupin hmot. Dále musí být v dialogu Data o projektu na kartě Funkcionalita zvolena Dynamika.