Open topic with navigation
Abstract
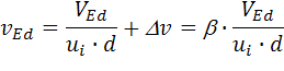
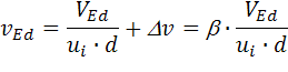
The maximum punching shear stress in EN 1992-1-1, clause 6.4.3(3) is calculated according to formula below.
It follows that maximum punching shear stress depends on:
- design ultimate shear force on the perimeter (VEd)
- length of control perimeter (ui)
- the mean effective depth of the slab at control perimeter (d)
- shear factor taking into account of moment transfer (β). The calculation of this factor is based on the principle, that the moment transferred between the slab and the column must be equal to the moment produced by the shear Dv distributed around the perimeter ui
The version SCIA Engineer 2012 offers the following possibilities for calculation of factor β:
- Simplified method according to EN 1992-1-1, clause 6.4.3(6), default method
- General method according to EN 1992-1-1, clause 6.4.3(3-5)
- General method according to general formula
- User input of β factor (only if punching data are defined)
Open topic with navigation