1D stresses

The 1D internal forces command serves for displaying internal forces on selected 1D members. (not only on Beams, but also on Ribs, Tendons and Integration strips/members)

Usage

  1. Calculate a FEM analysis of the model
  2. Go to Tree > Results > Beams > 1D stresses
  3. Set properties of the command to specify mainly:
    • selection of 1D members where the results are evaluated
    • load type from which the results are derived
    • specific result value from the available list to be visualized
  4. Click on [Refresh] action button to display the results

Note: To get general overview about how to work with Result service and its commands, see Results/Basics.

Properties

Category Property Description / Notes
Selections

Type of selection

All / Current / Advanced / Named Selection

Specifies on what members the results are displayed

See "Type of selection"

 

Filter

No / Cross-section / Material / WildCard / Layer / Type of beam

Result case Type of load

Load case / Combinations / Classes / Nonlinear Combinations/ Stability Combinations / Mass combinations

Defines for what load the results are displayed.

See"Result case"

Extreme 1D Extreme 1D

No / Section / local / Cross-section / Design group / Member / Global

Defines the position where extremes of result value are evaluated.

note for "extreme no" option: If selected combination or class consist of too many linear combinations and thus it is not possible to display the results in full - conservative method that only displays results for linear combinations causing an extreme response of the structure is used instead.

Type of values

Basic magnitudes / Principal magnitudes

 
Values See table Values below.
Interval

On / Off

Activation of interval of values for displaying in 3D window and in result tables.

Minimum [ ] It is available only if Interval functionality is ON. User can define minimal value of interval. This item is unique for every type of unit used in Values.
Maximum [ ] It is available only if Interval functionality is ON. User can define maximal value of interval. This item is unique for every type of unit used in Values.

Fibres

All / Top / Bottom / Named fibre / All named fibres

Cross-section parts

All / Named cross-section part

 

Print combination key

On / Off

Results in sections

All / Selected

If results in sections is set on Selected, new possibilities are available

Ends / Close to middle / Inputted

Output settings Print combination key

On / Off

 
Display info about used interval

On / Off

It is possible to display or not display in header of result tables information about applied intervals.
Drawing Setup 1D   " Drawing setup 1D"
Errors, warnings and notes settings   "Errors, warnings and notes settings"

Values

The following categories of 1D stresses can be displayed:

Basic magnitudes

The basic stresses are default magnitudes referring to the local axes of the selected coordination system.

Value Description Notes
σx

normal stress in direction of local axis x

It is calculated on assumption of linear distribution of the strain within the section. In the first step the plane of deformation is calculated using iterative algorithm () so strain in all fibres is known. In the next step adequate stresses are assigned using stress-strain curve. Remember that linear calculation uses linear approximation (E modulus) of stress-strain curve.
txy/txs transverse shear stress from Vy

They are calculated from the shear force and torsional moment using unit distribution of shear stresses. Those unit distributions of shear stresses are also available in the cross section editing dialogue.

The txs magnitude represents:

walled cross section. Distribution of this shear flow from horizontal a vertical unit shear forces can be checked in the cross section manager.

txz/txs transverse shear stress from Vz
ttor/txs torsional shear stress from Mx
Components possibility to choose more than one value and display them together in 3D window. Only selected values will be displayed in result tables.  

Principal magnitudes

The principal stresses represent the extreme values of the internal forces derived from the basic ones by transformation into the directions of principal axes:

Value Description Notes
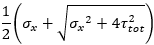
σ1

maximum principal stress

 

σ2

minimum principal stress

σE

equivalent stress (von Mises)

ttot

total shear stress

Components possibility to choose more than one value and display them together in 3D window. Only selected values will be displayed in result tables.