Alpha coefficient
The EN 1993-1-8 with Figure 6.11 indicates, how the coefficient α is determined.
Within SCIA Engineer we use similar, but more exact method described in Ref [34], the publication by Ed. Moore D.B. and Wald F.: Design of Structural Connections to Eurocode 3 – Frequently Asked Questions (Q&A 6.2 Effective Length of Stiffened T-stub).
The algorithm consist of several steps:
1 - calculate λ1 and λ2 with the standard formulas
2 - make a first default estimate input to α
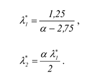
3 - calculate λ1* and λ2*
4 - calculate λ1,calc according to the formulas and conditions
5 - compare λ1,calc with λ1.
5a - if the values match with a certain precision, then we will use the estimated α
5b - if the values does not match, modify the α and repeat the steps 1-5 until 5a is hit
Calculated value of α must be within range of the interval <4.45;8>.
In case of 4 bolt per row the e distance, indicated on the picture above, is measured from the inner bolt to the end-plate side edge.