Circular Hollow Section

For a CHS (Formcode 3 or geometric 'Tube') the Area A is overruled as:

The Moments of inertia Iy and Iz are overruled as:

The Section moduli Wely and Welz are overruled as:

The Plastic section moduli Wply and Wplz are overruled as:

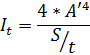
The Torsional constant It is overruled using the second formula of Bredt:

With A' the closed in area, taken as:

With S the circumference of the closed in area, taken as:

With Dc the centerline dimension, taken as:

Dc = D - t

With Di the inner diameter taken as:

Di = D - (2 * t)

Where D is the diameter of the cross-section and t the thickness.

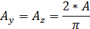
The Shear areas Ay and Az are overruled as: