3D stress / strain

The 3D stress command serves for displaying stress and strain on selected 1D and 2D members. (not only results from linear and nonlinear analysis, but also stress and strain of modal and stability eigenmodes)

Usage

  1. Calculate a FEM analysis of the model
  2. Go to Tree > Results > 3D stress
  3. Set properties of the command to specify mainly:
    • selection of 1D and 2D members where the results are evaluated
    • load type from which the results are derived
    • specific result value from the available list to be visualized
  4. Click on [Refresh] action button to display the results

Note: To get general overview about how to work with Result service and its commands, see Results/Basics.

Properties

Category Property Description / Notes
Selections

Type of selection

All / Current / Advanced / Named Selection / Design Group

Specifies on what members the results are displayed

See "Type of selection"

Filter

No / Cross-section / Material / WildCard / Layer / Thickness / Type of beam

Specifies the filter of members on what the results are displayed

See "Filter"

Location

In nodes no avg. / In nodes avg. on macro

Defines location in finite element mesh of calculated 2D values .

Trajectories

On/Off

Available only for Principal magnitudes / Membrane magnitudes (2D)

Displaying results of stresses by trajectories in direction of stress

Type variables

Basic magnitudes / Principal magnitudes / Membrane magnitudes (2D) / Basic total strain (2D) / Principal total strain (2D) / Basic plastic strain (2D) / Principal plastic strain (2D)

 
Value See table Values below.
System

LCS mesh element / Global

Defines in which coordinate system the results are displayed.

Extreme 1D

Fiber / Section / Cross-section / Design group / Member / Global

Defines for which extreme on 1D member the results are displayed.

Extreme 2D

Mesh / Surface / Member / Global

Defines for which extreme on 2D member the results are displayed.

Result case Type of load

Load case / Combinations / Classes / Nonlinear Combinations/ Stability Combinations / Mass combinations

Defines for what load the results are displayed.

See"Result case"

 

Envelope (for 2D drawing)

Minimum / Maximum / Absolute extreme

Calculate results on ... 1D members

On / Off

It is possible to switch ON/OFF drawing of results on 1D members or faces of 2D members.

positive faceis the face which is on +z local coordinate of the 2D member

negative face is on -z local coordinate of the 2D member

2D positive face

On / Off

2D negative face

On / Off

Deformed structure

Deformed structure

On / Off

The result values can be displayed also on deformed surface of the structure

The deformed surface is displayed for the combination from selected result case which provides the extreme value of selected magnitude. In case the result type contains envelope combination (different combinations can give extreme values for each member of the structure) it is possible to select between "Member deformation for global / local maximum".

Note:

Member deformation for global maximum means that the deformation of surfaces is calculated just for one exact combination which gives global extreme of selected magnitude.

Member deformation for member maximum means that the extreme combination is evaluated for each member separately. In this case the deformed surface can be displayed for different combinations per each member and there can be discontinuities in deformed surface.

For drawing use linear rotation

On / Off

Enables to switch between small displacement assumption based linear translations (which provides result consistent with used assumption) and circular translations (which keeps the original shape of cross section).

Linear translation ON / OFF

Drawing Setup 2D   "Drawing setup 2D"
Errors, warnings and notes settings   "Errors, warnings and notes settings"

Values

The following categories of stresses and strains can be displayed:

Note: As default, the stresses and strains refer to the local axes of the individual finite (mesh) elements. The local axes can be displayed by selecting the corresponding option in the View parameters settings.

Basic magnitudes

The basic stresses are default magnitudes referring to the local axes of the selected coordination system.

Value Description Notes
σx(1D/2D)

stress in direction of local axis x


It is calculated on assumption of linear distribution of the strain within the section. In the first step the plane of deformation is calculated using iterative algorithm () so strain in all fibres is known. In the next step adequate stresses are assigned using stress-strain curve. Remember that linear calculation uses linear approximation (E modulus) of stress-strain curve.
σy(2D)

stress in direction of local axis y

 
txy(2D)

shear stress

 

txz(2D)

shear stress perpendicular to the plane

tyz(2D)

shear stress perpendicular to the plane

txy/txs(1D) shear stresses in local coordinates (thick walled cross sections) or total shear flow (thin walled cross sections)

They are calculated from the shear force and torsional moment using unit distribution of shear stresses. Those unit distributions of shear stresses are also available in the cross section editing dialogue.

The txs magnitude represents the total shear flow which is in the thin-walled cross section. Distribution of this shear flow from horizontal a vertical unit shear forces can be checked in the cross section manager.



The shear stresses are evaluated differently for thick-walled and thin-walled cross section. For thick-walled (solid) sections the real txyor txzare calculated and displayed.

For thin-walled sections the final shear flow from unit forces in Y or Z directions are evaluated and displayed as total shear flow:

See also chapters in manual related to calculation of sectional characteristics.

txz/txs(1D)
ttor/txs(1D)

Principal magnitudes

The principal stresses represent the extreme values of the internal forces derived from the basic ones by transformation into the directions of principal axes:

Value Description Notes
σ1

principal stress

1D - consider torsion due shear force is OFF:

1D - consider torsion due shear force is ON:

2D:

 

1) The angles of principal magnitudes are derived from to the local axis x.

2)The principal magnitudes can be visualized also as trajectories (see the option Trajectories in the command properties).

σ2

principal stress

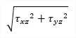
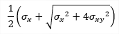
σE

equivalent stress (von Mises)

1D:

2D:

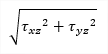
tmax,b(2D)

Maximum shear stress perpendicular to the plane

 

Membrane magnitudes (2D)

Value Description Notes
σmE

membrane equivalent stress (Mises)


 

σm1

principal membrane stress on positive face (max)

σm2

principal membrane stress on positive face (min)

Basic total strain (2D)

The basic strains are default magnitudes referring to the local axes of the selected coordination system.

Value Description Notes
etot,x

strain on positive surface


etot,y

strain on positive surface

gtot,xy

slope on positive surface

Principal total strain (2D)

The principal strains represent the extreme values of the internal forces derived from the basic ones by transformation into the directions of principal axes:

Value Description Notes
etot,1

maximum principal strain


principal strain on positive surface (max)

principal strain on negative surface (max)

 

etot,2

maximum principal strain

principal strain on positive surface (min)

principal strain on negative surface (min)

a

maximum angle of principal strain

angle of principal strain on positive surface

angle of principal strain on negative surface

etot,M

maximum equivalent strain (Mises)

equivalent strain on positive surface (Mises)

equivalent strain on negative surface (Mises)

Basic plastic strain (2D)

The basic plastic strains are default magnitudes referring to the local axes of the selected coordination system. The basic plastic strains are part of basic total strains after nonlinear calculation with functionality "General plasticity" for elasto-plastic material.

Value Description
epl,x

for elasto-plastic material without hardering

for elasto-plastic material with hardering

epl,y
gpl,xy

Principal plastic strain (2D)

The principal plastic strains represent the extreme values of the internal forces derived from the basic ones by transformation into the directions of principal axes. The principal plastic strains are part of principal total strains after nonlinear calculation with functionality "General plasticity" for elasto-plastic material.

Value Description
epl,1

for elasto-plastic material without hardering

for elasto-plastic material with hardering

epl,2
a
epl,M

Limitations

It is necessary to take into account that result are calculated in fibres only. Values between fibres are linearly interpolated. In some cases this precondition results in omitting of some local extremes. Example of this phenomenon is visible on following pictures:

There is a thick-walled I cross section exposed to horizontal shear force:

The third picture shows distribution of shear XY on the edge between fibres 7, 9. The theoretical distribution is shown by the dashed light blue line. the red line shows distribution which is presented by the 3D stress result. The reason is quite clear. The distribution of stresses is linear interpolation between values in fibres and the only fibre between fibres 7 and 9 is fibre 8 which has quite low value. Therefore the higher shear stress on exceeding parts of flanges are not respected on this edge.

This higher shear stress from exceeding part of flanges is displayed correctly on the inner edge 10-11 as is also visible on the picture.