Automatic calculation of the effective width of plate ribs - supported methods
3 methods are supported for the automatic calculation of effective width:
- for concrete beams, the EN 1992 method is used
- for composite beams, the EN 1994 method is used in general, except for IBC projects, where the AISC 360-10 method is used
For beams that are neither concrete nor composite, one of the supported methods may be used.
Effective width according to EN 1992
For concrete beams, the effective width is calculated according to EN 1992-1-1 clause 5.3.2.1.
Effective width
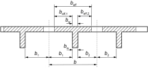
The effective width on each side of a beam is calculated as follows:
which reflects formulas (5.7), (5.7a) and (5.7b) of EN 1992-1-1.
beff,i is the effective width on the left- or right-hand side of the beam, measured from the axis of the beam.
The coefficients in the above formula can be configured in the solver setup. Their default values are those from formula (5.7a).
bw is the width of the beam or, more precisely, the width of the contact surface between the beam and the plate.
bi is the available distance on the left- or right-hand side of the beam; it is either half of the distance to the adjacent beam, if there is one, or the distance to the edge of the plate (see EN 1992-1-1 figure 5.3 below).
Effective span length
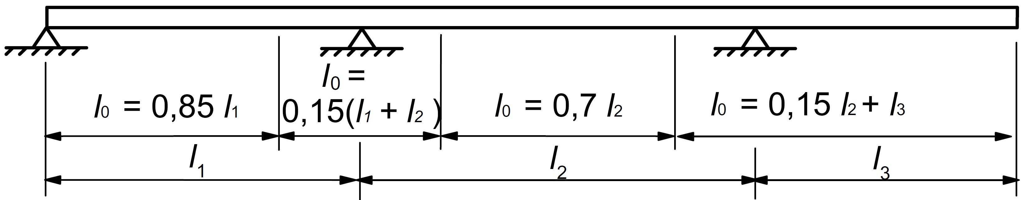
is the effective span length, or distance between the points of zero-moment in the considered span. It is estimated as follows:
- simply supported beam
- inner span of a continuous beam
- end span of a continuous beam
- cantilever span
which reflect the principles shown in EN 1992-1-1 figure 5.2 (see below).
is the length of the considered span.
is the length of the adjacent span for a cantilever.
The last part of the formula for cantilevers (with coefficient 1.5) is specified in the German National Annex. It can be disabled by assigning a large value to that coefficient.
The coefficients in the above formulas can be configured in the solver setup. Their default values correspond to figure 5.2 above.
Validity check
According to the note of figure 5.2, the above approximation of effective span length is valid only when then following conditions are verified:
- for inner spans and end spans of a continuous beam
whereand
are the lengths of two consecutive spans
- for cantilevers
whereis the length of the cantilever and
is the length of the adjacent span
The coefficients in the above formulas can be configured in the solver setup. Their default values correspond to the note of figure 5.2.
In case the two conditions above are not satisfied, a warning message is issued during the calculation of effective width for concrete beams.
Effective width according to EN 1994
For composite beams, the effective width is calculated according to EN 1994-1-1 clause 5.4.1.2 and 5.4.2.1.
beff,left, beff,right are the left- and right-hand side effective width of the rib
Le is the effective span length of the considered beam, assumed equal to the distance between zero-moment points.
The coefficients for the calculation of Le can be configured in the solver setup.
SCIA Engineer uses the general method (from EN 1994) which defines Le as a ratio of L. Only for AISC (IBC) code, the simpler rule Le=L is used in all cases.
a is a configurable constant (in solver setup); it is taken = 8.0 by default, which corresponds to the specifications of the EN1994 and ASCI (IBC) codes for the effective width in the analysis model.
badj,left, badj,right are the maximum values of effective width on the left and right hand side due to adjacent entities. The effective width on a side may not exceed:
There is no validity check of the span length ratios for the EN 1994 method.